Software Pipeliner
Contents
SMS: Swing Modulo Scheduling (SMS, 摇摆模调度) 是一种软件流水线技术,它旨在通过重叠循环的不同迭代指令来提高指令级并行性(ILP),从而优化循环的执行性能。SMS 特别关注于降低寄存器压力,同时在合理的编译时间内生成高效的调度序列 1。它属于模调度算法的一种,模调度算法尝试重叠单基本块循环的迭代,并根据一组启发式规则得出的优先级来调度指令。
目标文件:llvm/lib/CodeGen/MachinePipeliner.cpp
Pass执行:在寄存器分配Pass前。
| 概念 | 含义 |
|---|---|
| MII(minimal initiation interval) | 指完成循环所需的最小间隔,MII=max(RecMII,ResMII)。 |
| ResMII(Resource MII) | 根据一次循环所需的功能单元(FU, function unit)去除以机器所有功能单元的结果。如果循环中包含多类FU的使用(且每类FU之间相互无法替换),则ResMII是分别对每一类FU计算ResMII后的最大值。 |
| RecMII(Recurrence MII) | 循环中环路完成一次迭代所需的最小间隔,如果循环存在多条数据链路则分别计算后取其最大值。 |
软件流水循环执行模型:

SMS算法
依赖图的计算和分析
依赖图包含四个部分:
| 属性 | 含义 |
|---|---|
| V | 依赖图顶点的集合,其中每个顶点v表示循环中的一个操作。 |
| E | 依赖图边的集合,表示依赖关系,SMS中仅存在数据依赖,(u,v)表示v依赖于u。 |
| $δ_(u,v)$ | 距离函数。 |
| $λ_u$ | 延迟函数,表示相应操作(顶点)所花费的周期数。 |
附加函数:
| 属性 | 含义 |
|---|---|
| ASAP (As Soon As Possible) | 指令可以开始执行的最早时间点。 |
| ALAP (As Late As Possible) | 指令可以开始执行的最晚时间点。 |
| MOB(Mobility) MOV (Movement) | 节点在调度中的移动量,是从ASAP到当前调度时间的差值,ALAP-ASAP。 |
| D (Depth) | 表示按延迟加权的节点的深度。 |
| H (Height) | 表示按延迟加权的节点的高度。 |
节点排序
两种情况:
- 无循环:自下而上遍历。
- 有循环:根据每个循环的RecMII的值,从高到低进行处理,遍历方式视情况而定。
排序过程:
- 计算部分排序/偏序(partial order),将节点分组为有序的集合列表:这些集合按优先级(RecMII值确定)从最高到最低的顺序排列,但每个集合内部没有任何顺序。图的每个节点只属于一个集合。
- 排序:按部分排序/偏序的优先级遍历每个节点集。
- 确定该节点集的遍历方式(top-down/bottom-up)。
- 根据遍历方式对节点进行遍历。
- 最终输出包含图中所有节点的有序列表O。

节点调度
| 属性 | 含义 |
|---|---|
| $v$ | 前驱或后继操作节点。 |
| $u$ | 当前操作节点。 |
| $t_v$ | v已被调度的周期。 |
| $λ_v$ | v的延迟。 |
| $δ_(v,u)$ | v到u的依赖距离。 |
| $PSP(u)$ | previously scheduled predecessors,u已经被调度的前驱节点。 |
| $PSS(u)$ | previously scheduled successors,u已经被调度的后继节点。 |
- 如果在部分调度(partial schedule)中操作u仅有前驱节点,则尽可能早调度,计算开始时间
EarlyStart,从EarlyStart开始扫描直到EarlyStart+II-1寻找空闲延迟槽。 $EarlyStart = max_(v∈PSP(u))(t_v+λ_v-δ_(v,u)×II)$ - 如果在部分调度(partial schedule)中操作u仅有后继节点,则尽可能晚调度,计算开始时间
LateStart,从LateStart开始扫描直到LateStart+II-1寻找空闲延迟槽。 $LateStart = min_(v∈PSS(u))(t_v+λ_v-δ_(u,v)×II)$ - 如果在部分调度(partial schedule)中操作u既有前驱节点又有后继节点,计算
EarlyStart和LateStart,从EarlyStart开始扫描直到min(LateStart, EarlyStart + II - 1)寻找空闲延迟槽。 - 如果在部分调度(partial schedule)中操作u既无前驱节点又无后继节点,则其
EarlyStart=ASAP,从EarlyStart开始扫描直到EarlyStart+II-1寻找空闲延迟槽。
无循环示例
MII = 4
依赖图示例:

各节点属性:

排序:
- R = {n12}
- bottom-up:O = <n12, n11, n10, n8, n5, n6, n1, n2, n9>
- top-down:O = <n12, n11, n10, n8, n5, n6, n1, n2, n9, n3, n4, n7>
调度:

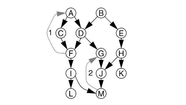
有循环示例
四个通用功能单元、每个操作延迟为2。
MII = 6
依赖图示例:

排序:
- 节点分组为有序集
- S1 = {A, C, D, F}:第一个循环,$RecMII = (3 nodes × 2 cycles)/(1 distance) = 6$。
- S2 = {G, J, M, I}:第二个循环,$RecMII = (3 nodes × 2 cycles)/(2 distance) = 3$。
- S3 = {B, E, H, K, L}:剩余节点。
- 排序
- S1:bottom-up:O = <F, C, D, A>
- S2:top-down:O = <F, C, D, A, G, I, J, M>
- S3:bottom-up:O = <F, C, D, A, G, I, J, M, H, E, B>
- S3:top-down:O = <F, C, D, A, G, I, J, M, H, E, B, L, K>
调度:

llvm软流水实现流程
使用ScheduleDAGInstrs类,通过DAG结构表示依赖关系,使用指向 Phi 节点的顺序边表示循环相关性。
使用DFAPacketizer类,消除DAG中不必要的边,计算最小启动间隔,并检查在流水线计划中可以插入指令的位置。
- 计算出最小初始间隔(MII, minimal initiation interval)。
- 建立dependence graph, 计算每条指令的相关信息(ASAP ALAP MOV Height Depth …)。
- 节点排序。
llvm软流水具体实现
bool MachinePipeliner::scheduleLoop(MachineLoop &L)在确切的循环上执行SMS算法,该函数识别候选循环,计算最小启动间隔,并尝试调度循环。
llvm软流水相关符号
dependence graph
SU: Scheduling unit,调度单元# preds left: 当前调度单元剩余的前驱(predecessors)数量。# succs left: 当前调度单元剩余的后继(successors)数量。# rdefs left: 表示当前调度单元剩余的寄存器定义(register definitions)数量。Latency: 表示执行当前操作的延迟。Depth: 表示当前节点在控制流图中的深度。Height: 表示当前节点在控制流图中的高度。Successors: 列出了当前节点的后继节点。SU(x): Data Latency=0 Reg=%y: 表示到编号为x的后继调度单元的数据延迟是0,即使用寄存器%y的值没有延迟。SU(x): Anti Latency=1: 表示到编号为x的后继调度单元的反依赖(anti-dependence)延迟是1。反依赖通常发生在循环中,当一个指令的执行结果需要在某个时间点之前被另一个指令使用时。这里的“1”表示在当前节点和使用该结果的指令之间有一个周期的延迟。
Node
| 属性 | 含义 |
|---|---|
| ASAP (As Soon As Possible) | 指令可以开始执行的最早时间点。 |
| ALAP (As Late As Possible) | 指令可以开始执行的最晚时间点。 |
| MOV (Movement) | 节点在调度中的移动量,是从ASAP到当前调度时间的差值,ALAP-ASAP。 |
| D (Depth) | 表示按延迟加权的节点的深度。 |
| H (Height) | 表示按延迟加权的节点的高度。 |
| ZLD (Zero Latency Depth) | 表示在没有考虑指令延迟的情况下,节点的深度。 |
| ZLH (Zero Latency Height) | 表示在没有考虑指令延迟的情况下,节点的高度。 |
NodeSet
| 属性 | 含义 |
|---|---|
| Num nodes | 当前节点集包含的节点数。 |
| rec | RecMII。 |
| mov | MaxMOV,节点在调度中的移动量。 |
| depth | MaxDepth。 |
| col | Colocate,定位。 |
参考
1. Lifetime-Sensitive Modulo Scheduling in a Production Environment